O Level E Math 2024 Paper 2 Question 3

The answers below are from our Last Lap Programme, where our Principal Tutors will be covering the past 10 years of O Level Math Papers. If you found this helpful and would like detailed video explanations to further aid your understanding, we encourage you to register for our Last Lap Programme.

Our O Level students will register for our Last Lap Programme, which includes:
1. 2 x 1 hour 1-1 Consults
2. O Level Crash Course Materials (Consists of Notes + Practices)
3. Worked PDF Solutions to Ten-Year-Series
4. Access to Digital Video Library of all S4 lessons (from January onwards)

Additionally, majority also sign up for our June Holiday Three-Year-Series Programme, whereby students attempt the past three years of O Level papers under exam conditions. Each paper is graded and reviewed by our Principal Tutors, who provide detailed feedback, analysis, and strategies for improvement.

To get answers to O Level E Math Paper 1 and A Math Paper 1 & 2, join our Telegram Channel.

O Level E Math 2024 Paper 2 Question 3

The video explanation for the answers can be found here!

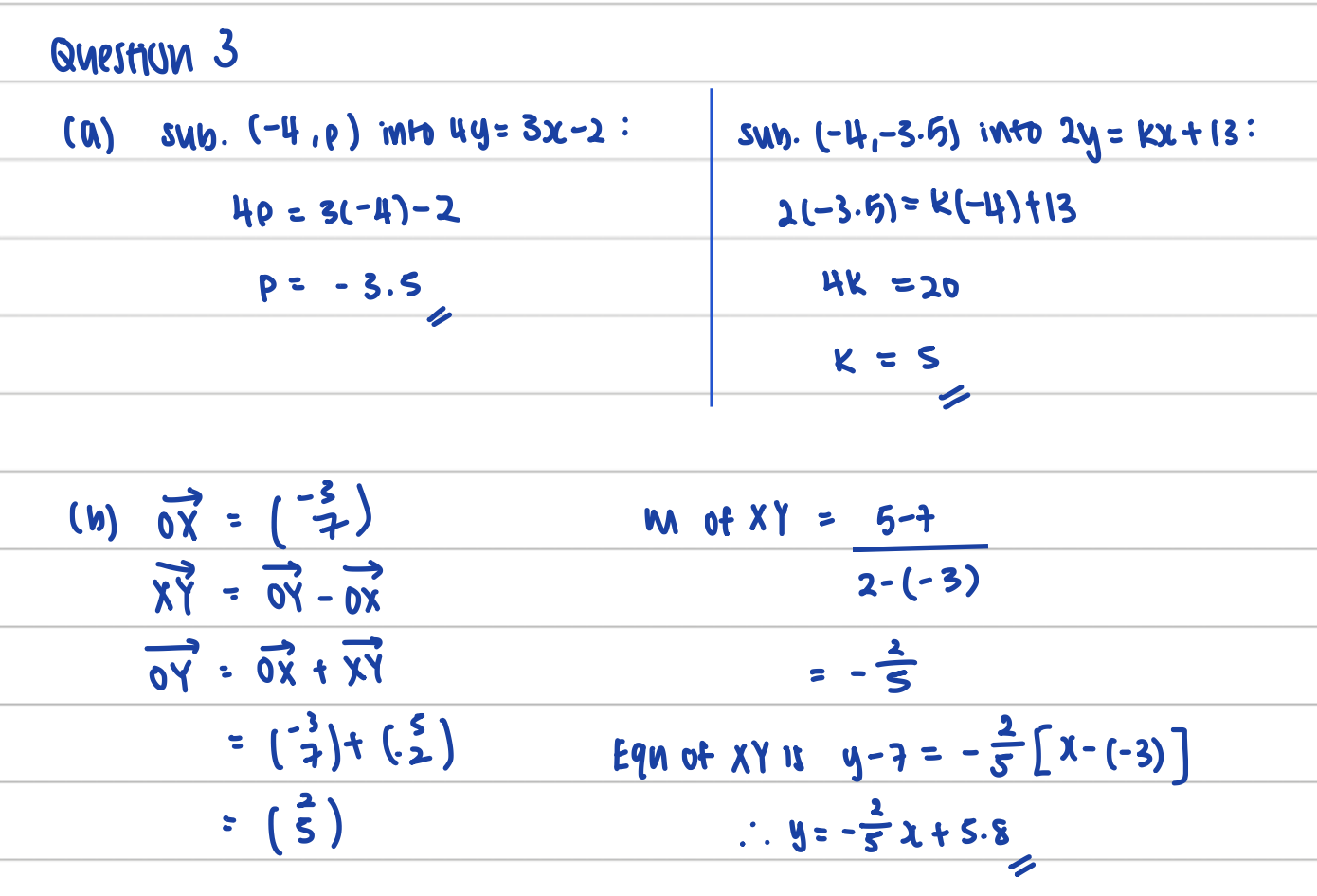
Question 3 (a): Coordinate Geometry & Algebra
Question 3 (b): Vectors
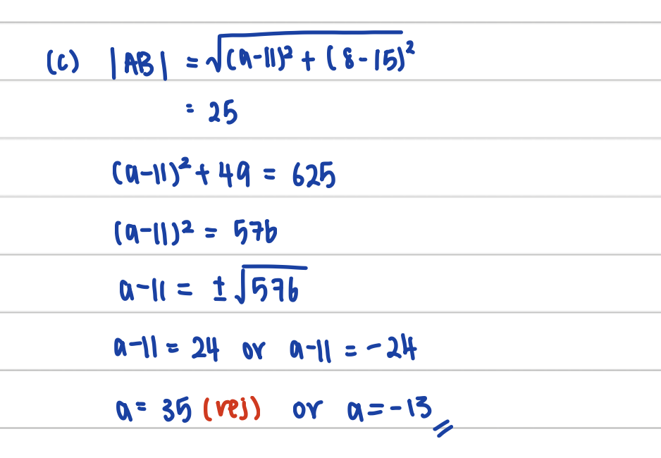
Question 3 (c): Coordinate Geometry

O Level E Math June Holiday Three-Year-Series Programme
(6 sessions across June Holiday break)

Guided lesson recordings of past 10 years O Level E Math papers with our co-founders + submit answers for grading

Learn more